
编者按
全球糖尿病防控处所日益严峻。数据清爽,面前全球糖尿病患病率约为12.2%,估量患者总额到2045年将攀升至7.83亿。跟着糖尿病患者数目的激增,糖尿病视网膜病变(DR)及眼光威迫性DR(VTDR)的患病群体也随之剧增,成为要紧全球卫生挑战。全球鸿沟内,约有3700万盲东说念主患者,其中4.8%由DR导致。然则,我国在DR筛查方面仍靠近多重逆境。在COA 2025年会上,天津医科大学眼科病院刘巨平阐明聚焦DR血液生物记号物的探索与瞻望,进行了精好意思深远的先容,为莽撞上述挑战提供了垂死的科研念念路与临床泛动标的。

我国DR筛查靠近的多重逆境
当今,国内DR主动筛查率不及10%,且尚未运行国度层面的糖尿病眼病筛查操办(DESP),现存筛查责任东要依赖自愿或区域性边幅,清寒有用的筛查模式和可抓续的组织架构支抓。具体来看,我国DR总体筛查率仅约5%,这意味着超95%的患者未能被实时会诊;即便确诊后,患者的转诊就诊率也低于15%。低筛查率、高未会诊比例与低转诊率变成的恶性轮回,导致大批患者错失早期打扰时机,加重了DR致盲风险。
面前,DR筛查主要依赖眼部记号物,但靠近试验逆境:需高度依赖专科拓荒与大批专科东说念主员,下层可及性与方便性差,难以结束动态高频次监测,成为筛查实行的瓶颈。与此同期,非眼部记号物为下层筛查开辟潜在冲突口——其高可及性与普及性上风显耀,操作方便、本钱便宜,且具备内在疾病预测能力,易于通过技艺妙技结束自动化与尺度化,有望冲突资源与地域遏抑,陶冶下层筛查粉饰率与恶果。DR的非眼部会诊记号物如:甲床毛细血管形态(毛细血管长度、血流速率)、皮肤自愿荧光(晚期糖基化临了产品)、血液计议、唾液计议(TNF-α、IL-6 等)、粪便菌群情况、尿液(尿卵白/尿肌酐比值等)有望为DR筛查提供更方便的妙技。
DR的非眼部会诊记号物探索——血液计议
血液记号物——炎症计议重要发现(横断面凭证)
北辰眼病计议是一项基于社区的横断面计议,该区域属于城乡纠合部,因其私有的社会经济与健康特征成为探询焦点。计议终端为城乡纠合部东说念主群的眼病风险及全球卫生打扰政策提供了垂死数据支抓。计议终端标明:DR患病率28.8%,DME患病率14.13%。DR与血糖水平、糖尿病病程呈正关系;与年齿呈负关系;DME与血糖水平、糖尿病病程呈正关系。此外,计议还探索了血细胞关系炎症计议与DR的关系。
与非DM组、有DM无DR比较,DR组PDW、NLR呈飞腾趋势。
NLR会诊遵循:模子Ⅲ AUC = 0.751(机灵度74.3%,特异性64.8%)。
中性粒/淋巴细胞比值(NLR)是DR发生的落寞危境要素。

注:血细胞关系炎症计议:血小板平均体积(MPV)、血小板散布宽度(PDW)、中性粒/淋巴细胞比值(NLR)、血小板/淋巴细胞比值(PLR)
血液记号物——炎症计议(纵向凭证)
一项横断面与纵向计议评估了中性粒细胞-淋巴细胞比值、全身免疫炎症指数与全身炎症反应指数在DR会诊及预后预测中的价值。计议对基线无DR的糖尿病患者进行2年随访,纳入479名参与者,92名(19.2%)在2年内新发DR。主要计议为:中性粒细胞与淋巴细胞比值(NLR)、血小板×中性粒细胞/淋巴细胞比值(SII)、中性粒细胞×单核细胞/淋巴细胞比值(SIRI)。
终端清爽,DR患者的NLR、SII、SIRI显耀高于无DR的糖尿病患者和对照组。多变量分析清爽(颐养年齿、性别、血糖等),NLR、SII、SIRI均为DR的落寞危境要素。组合NLR、SII、SIRI可提高DR的会诊准确性,小九体育在线直播官网AUC陶冶至 0.765 明锐性58.3%,特异性84.8%。

SIRI在纵向计议中清爽出预测DR发生的能力。基线SIRI > 1.222 的患者2年内发生DR的风险加多2.3倍。

复合型炎症计议更全面反应系统炎症情状,可构建更精确的预测模子。
血液炎症计议与DR的关系性计议

血液记号物——红细胞计数
一项基于转头性队伍计议诞生的风险评估模子标明,红细胞数RBC可能手脚DR的保护性生物记号物。RBC越高,DR风险越低;可能与红细胞携氧能力、血液流变学特质计划。

血液记号物—— RAR红细胞散布宽度/白卵白比值
红细胞散布宽度(RDW)反应红细胞体积异质性和慢性炎症情状;白卵白(ALB)与养分和抗炎功能关系;RAR为RDW/ALB比值,手脚新式炎症复诡计议,在多种疾病中清爽出预后价值。
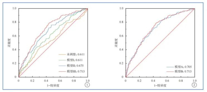
RAR:在都备颐养的模子Ⅲ中,RAR每加多1单元,DR风险加多2.33倍。RAR按三分位数分组:T3组(RAR > 2.96)比T1组(RAR ≤ 2.78)风险显耀升高。

加入RAR后(模子B)比未加入RAR(模子A)的预测能力显耀陶冶。

HRR血红卵白/红细胞散布宽度比值:HRR = 血红卵白(g/L) / RDW(%),详尽反应炎症情状和氧运送能力。
HRR越高,PDR风险越低。HRR与DR风险存在非线性关系,HRR 高于 10.81,HRR的保护作用增强。中介分析清爽,DBP介导15.9%的保护效应;HbA1c对消60.5%的保护效应。

血液记号物探索——生化计议
ALT和AST APRI评分是高血糖的潜在生物记号物,但APRI评分与DR没计划联,不可手脚预测DR风险的计议。

注:
APRI:肝纤维化评揣摸划
AST APRI 评分:(AST [U/L] / AST泛泛值上限 [U/L]) / 血小板计数 [10^9/L] × 100
ALT APRI 评分: (ALT [U/L] / ALT泛泛值上限 [U/L]) / 血小板计数 [10^9/L] × 100
APRI 分组尺度
泛泛 APRI:
血液记号物昔时探索标的
频年来,血液记号物在疾病预警与调节中的价值日益突显,昔时有必要进一步探索血小板平均体积(MPV)、血小板散布宽度(PDW)、中性粒/淋巴细胞比值(NLR)、血小板/淋巴细胞比值(PLR)等血液计议在DR筛查中的应用后劲。同期系统性免疫炎症计议如Systemic Immune-Inflammation Index(SII)、Systemic Inflammation Response Index(SIRI)、Aggregate Index of Systemic Inflammation(AISI)、Pan-immune Inflammation Value(PIV)等复合型计议更受温情。这些计议通过整合血小板、中性粒细胞、淋巴细胞等参数,可详尽反应机体炎症与免疫情状,为更多眼病的早期筛查、疗效监测及预后评估提供新标的。昔时计议需进一步考据其机灵性与特异性,并探索尺度化检测有计议及临床阈值,以推进其从实验室向临床应用泛动。
澳洲幸运5官方网站此外,“AI +非眼部记号物”是昔时限制探索的另一大热门。“AI +非眼部记号物”愚弄糖尿病患者血液查验数据,并纠合患者眼部影像学数据、年齿、糖尿病病程等成例信息,由AI构建更强盛的详尽预测模子。结束一种低本钱、高可及性的主动风险初筛和分层措置。
小结与瞻望
刘阐明总结,炎症计议能告成反应系统炎症情状,与DR的发生发展密切关系,具有显耀的会诊与预测后劲。详尽多种细胞信息的复合型计议大致更全面地反应系统情状,其会诊性能优于单一计议,适用于早期筛查与风险分层。进一步整合多病理机制的复合型计议,通过交融不同病理路线的信息,可构建更为精确的预测模子小九体育在线直播官网平台,结束“1+1>2”的遵循陶冶。昔时,纠合血液计议、眼部影像学数据及东说念主口学特征,借助AI模子进行详尽分析,有望结束个体化的DR风险分级,从而精确识别高危个体,推进真确的“前瞻性筛查”与早期打扰。最终,让低本钱、高可及的血液筛查,成为重大糖尿病患者眼光保护的第一起防地。